电工电气学习网

 找回密码
 立即注册
订阅

现代通信技术

随机过程的一般概念
随机过程的一般概念
  一、随机过程的基本概念  随机过程的定义  当事物的变化的过程不能用一个或几个时间的确定函数来描述时,则称这个过程为随机过程。 图1 部通信机的噪声输出记录   这种过程的基本特征是:其一,在观察区 ...
2015-3-24 08:52
希尔伯特变换与解析信号
希尔伯特变换与解析信号
  定义:将信号中的全部频率成分相移所得的时间表达式。希尔伯特变换的定义  希尔伯特变换:   由上式可以看出,希尔伯特变换正变换可以看作一线性系统,其冲激响应应为,如图1所示。 图1 希尔伯特变换正变 ...
2015-3-24 08:51
确定信号通过线性系统
确定信号通过线性系统
  1.输出信号的时域描述 图1 信号经过线性系统   2.输出信号的频域描述   系统的传输函数。   3.输出信号的能量谱密度或功率谱密度  若输入信号为能量信号,输入端,则输出信号的能量谱密度为   若 ...
2015-3-24 08:51
确定信号的卷积与相关
确定信号的卷积与相关
  一、卷积与卷积定理  1. 卷积定义及卷积的计算  令有函数和,定义与的卷积为   其中为积分变量。与傅里叶变换及拉普拉斯变换不同,卷积积分没有域的改变。两个时间函数卷积结果仍然是时间函数。  卷积 ...
2015-3-24 08:50
能量谱密度与功率谱密度
能量谱密度与功率谱密度
  一、能量谱密度  令为能量信号,且则的能量可以定义为   上式被称为帕什伐尔能量定理。  帕什伐尔能量定理表明一个能量信号的能量可以在时域内求解,也可以在频域内求解,并且,在时域内和在频域内求得的 ...
2015-3-24 08:49
信号的频域分析
信号的频域分析
  一、周期信号的傅里叶级数  任何一个周期为T的周期信号只要满足狄里赫利条件,就可以展开为正交序列之和——傅里叶级数。式(2.3.1)为指数形式的傅里叶级数。   式中 且   例2.3.1 求如图2.3.1所示的幅 ...
2015-3-24 08:49
信号与系统的表示法
信号与系统的表示法
  一、信号的分类  1.周期信号与非周期信号   周期信号可表示为   为在主值周期内的波形。   周期信号的性质:  (1) 若T是的周期,则mT也是的周期,m为任意正整数。  (2)的周期等于。  (3) ...
2015-3-24 08:48
常用通信信道及通信频带划分
常用通信信道及通信频带划分
  一、 几种常用信道特征  信道可分为有线信道和无线信道。  有线信道:如双绞线、电缆、光纤、波导等;  无线信道:自由空间提供的各种频段或波长的电磁波传播通道。  信号在信道内传输,会受到来自信道 ...
2015-3-21 21:39
通信系统主要性能指标
通信系统主要性能指标
  评价一个通信系统性能指标有:  (1)有效性:是指信道给定的前提下,传输一定信息量时所占用的信道资源(频带宽度和时间间隔),或者说是传输的“速度”问题;  (2)可靠性:是指信道给定的前提下,接收信 ...
2015-3-21 21:38
信息及其度量
信息及其度量
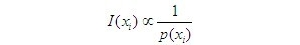
  信息是消息中有意义、有价值的部分。  信息量是对信息的定量描述。一个接收者接收到若干个消息,每个消息会具有不同的信息量。  一、自信息  从感知角度看,信息量的大小和接收者接收到消息后的惊奇程度有 ...
2015-3-21 21:36
模拟通信系统和数字通信系统
模拟通信系统和数字通信系统
  在介绍模拟通信系统和数字通信系统之前,首先介绍信号的分类。  信号可以分为模拟信号和数字信号。  模拟信号:信号的时间和取值都是连续的,如图1(a)所示。  信号的时间离散但取值是连续的,如题1(b) ...
2015-3-21 21:34
通信的基本概念
通信的基本概念
  通信就是将消息从一个地方传送到另一个或多个地方。  消息有话音、文字、图像、数据等。  实现通信的方法有非电通信和电通信。  非电通信:如旌旗、烽火台、金鼓、信件等。可靠性差且传输速率慢。  电通 ...
2015-3-21 18:25
通信系统和通信网
通信系统和通信网
  通信技术实际上就是通信系统和通信网的技术。通信系统是指点对点通信所需的全部设施,而通信网是由许多通信系统组成的多点之间能相互通信的全部设施。  1、通信系统模型  最基本的点对点单向通信系统模型如 ...
2015-3-21 18:25
123
现代通信技术热点文章

电工电气学习网 ( )

GMT+8, 2026-3-12 12:07

Powered by © 2011-2026 www.dgdqw.com 版权所有 免责声明

技术驱动未来! 电工学习网—从零开始学电工基础知识电气自动化学习网站。

返回顶部