|
译码是编码的反过程。编码是将信号转换成二进制代码,译码则是将二进制代码转换成特定的信号。将输入的二进制代码转换成特定的高(低)电平信号输出的逻辑电路称为译码器。 假设译码器由n个输入信号和N个输出信号,如果满足N=2n,就称为全译码器,又称二进制译码器,常见的全译码器由2-4线译码器、3-8线译码器、4-16线译码器等。如果满足N<2n,称为部分译码器,如二-十进制译码器(又称4-10译码器)、显示译码器等。 3-8线译码器是一种全译码器(二进制译码器)。全译码器的输入是3位二进制代码,3位二进制代码共有8种组合,故输出是与这8种组合一一对应的8个输出信号。译码器将每种二进制的代码组合译成对应的一根输出线上的高(低)电平信号。因此这种译码器也称为3-8线译码器。图5-44时5-6-1线译码器的框图。
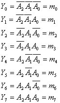
根据3-8线译码器的逻辑功能可以列出它的逻辑真值表,如表1所示。 从表1中所示可以看出,输入信号的每一种组合对应着一个输出端的高电平信号,即输出端为高电平(1)时认为该输出端有输出信号。当然,根据有需要也可以定义输出端为低电平(0)时认为该输出端有输入信号,此时称输出端低电平有效。 表1 3-8线译码器的逻辑真值表
根据真值表可以写出逻辑函数式为
根据逻辑函数式可以画出3-8线译码器的逻辑电路,如图2所示。
| ||||||||||||||||||||||||||||||||||||||||||||||||||||||||||||||||||||||||||||||||||||||||||||||||||||||||||||||||||||

电工电气学习网 ( )
GMT+8, 2026-3-12 12:56
Powered by © 2011-2026 www.dgdqw.com 版权所有 免责声明