|
在实际生活中经常会遇到同时输入两个或两个以上编码信号的情况。例如,同时按下计算机键盘上的两个按键。如果计算机键盘内的编码器是前面所讲的普通编码器,当同时按下两个按键时,键盘内的编码器将不能对这种输入状态进行编码,会出现错误的信息。这种错误信息有时会出现致命的后果。为了使这种输入状态出现时编码企业有确定的输出信号输出,便出现了优先编码器。 优先编码器允许同时输入两个以上的编码信号,编码器对所有输入的信号规定了优先顺序,当多个输入信号同时出现时,只对其中优先级最高的一个进行编码。 74LS148是集成8-3线优先编码器产品,下面对该优先级编码器的电路结构、工作原理及使用方法进行介绍。 图1给出了8-3线优先编码器74LS148的逻辑图。
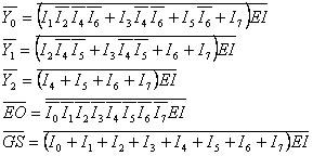
根据逻辑电路可以写出输出与输入变量之间的逻辑函数式为
从式(1)可以看出,当 根据式(1)可以列出优先那编码器74LS148的逻辑功能,如表1所示。 表1 74LS148逻辑功能表
在表1中,符号“×”表示任意状态(0或1,即输入端有无信号)。从表1可以看出,优先编码器74LS148的逻辑功能具有以下特点: (1)控制端 (2)编码器输出端 (3)在 (4)只有当控制端 (5)当控制端 (6)从表1中可以看出,编码器有3种 图2所示为优先编码器74LS148的逻辑图形符号。图中输入、输出端靠近边框的小圆圈表示低电平有效,且相应的字母符号上有一短画线。
因为74LS148优先编码器由8个编码输入信号、3个编码输出端信号,因此又称为8-3线优先编码器。 | ||||||||||||||||||||||||||||||||||||||||||||||||||||||||||||||||||||||||||||||||||||||||||||||||||||||||||||||||||||||||||||||||||||||||||||||||||||||||||||||||||||||||||||||

电工电气学习网 ( )
GMT+8, 2026-4-13 16:23
Powered by © 2011-2026 www.dgdqw.com 版权所有 免责声明