|
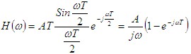
在加性高斯白噪声(AWGN)信道中,可以使用匹配滤波器实现数字信号的最佳接收。匹配滤波器是一种最佳线性滤波器,它是在输出信噪比最大准则下设计的一个线性滤波器,准确地说,匹配滤波器使其输出信噪比在某一特定时刻上达到最大值。 匹配滤波器具有特别重要的意义。例如在二进制数字传输中,我们关心的是能够从噪声中正确地判断两种可能信号中出现哪一种,判断时刻的信噪比愈高,愈有益于作出正确的判决。 一、匹配滤波器原理 设匹配滤波器的传输函数为 |
| 式中, |
![]() |
| 图1 匹配滤波器原理框图 |
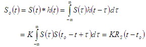
| 根据线性系统的叠加原理,匹配滤波器的输出 |
| 其中,输出信号 |
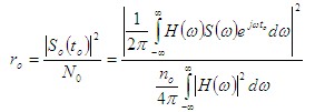
| 式中, 输出噪声 |
| 则匹配滤波器在 |
![]() |
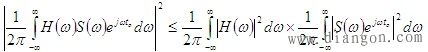
| 为了寻找一个 |
![]() |
| 显见,当 |
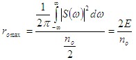
| 不等式(6)为等式,此时有最大可能输出信噪比为 |
![]() |
| 式中, 由此我们得出结论:在白噪声干扰的背景下,按 求式 |
![]() |
| 可见,匹配滤波器的冲激响应便是信号 作为数字信号的接收滤波器,匹配滤波器应该是物理可实现的。对于线性系统,物理可实现的条件是:当 为了满足物理可实现条件要求: |
| 即 |
| 上式表明,物理可实现的匹配滤波器,其输入信号 匹配滤波器的输出信号波形 |
![]() |
| 上式表明,匹配滤波器的输出信号波形 例1 设匹配滤波器的输入信号是一单个脉冲,如图2(a)所示,试求匹配滤波器的特性和输出信号波形。 |
![]() |
| 图2 匹配滤波器的输入输出波形及特性 |
| 解:令K=1,并取 |
![]() |
| 求 |
![]() |
| 若将 |
![]() |
| 图3 单个矩形脉冲的匹配滤波器 |
| 输出信号波形为 |
![]() |
| 输出信号波形在 二、二进制确知信号的匹配滤波接收 二进制数字信号中的两个不同波形 匹配滤波器构成的接收机方框图如图4所示。图中,有两个匹配滤波器, |
![]() |
| 图4 利用匹配滤波器的最佳接收机方框图 |

电工电气学习网 ( )
GMT+8, 2026-3-12 12:54
Powered by © 2011-2026 www.dgdqw.com 版权所有 免责声明