|
振幅键控(也称幅移键控),记作ASK(Amplitude shift keying),也称通断键控(或开关键控),记作OOK(On-Off Keying)。二进制振幅键控通常记作2ASK。 一、2ASK信号时域与频域分析 1.基本原理 二进制振幅键控就是用代表二进制数字信号的基带矩形脉冲去键控一个连续的载波。有载波输出时表示发送“1”,无载波输出时表示发送“0”,由此可得2ASK信号时间波形如图1所示。根据线性调制原理,一个2ASK信号可以表示成一个单极性不归零序列和一个正弦载波相乘,即2ASK信号的一般表达式为 |
| 其中 |
| 现令 |
| 则式(1)变为 |
![]() |
| 图1 2ASK信号的时间波形 |
| 2ASK信号的产生方法:有键控法和模拟调制法,如图2所示。 |
![]() |
| 图2 2ASK信号的产生 |
| 2.功率谱密度和带宽 由于2ASK信号可以表示成 |
| 若设 |
| 因为 |
| 此时,2ASK信号的功率谱密度 |
![]() |
| 当概率 |
![]() |
| 功率谱密度示意图 |
![]() |
| 图3 2ASK信号的功率谱密度示意图 |
| (1)因为2ASK信号的功率谱密度 (2)由图3可以看出。其带宽 |
| 因为2ASK系统的传码率为 |
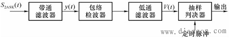
| 数字信号的单边带调制和残留边带调制的原理与模拟信号的调制原理相同,故不再赘述。 二、2ASK信号抗噪声性能分析 2ASK信号的常用解调方法有非相干解调(包络检波)法和相干解调(同步检测)法,采用不同的解调方式具有不同的抗噪声性能。 1.非相干接收时系统的误码率 包络检波法的原理方框图如图4所示。 |
![]() |
| 图4 2ASK信号的包络检波 |
| 由图4可见,在2ASK信号的非相干接收中,包络检波器、低通滤波器的输出送到抽样判决器。根据判决门限电平,在抽样时刻判决脉冲的有无。因此,计算非相干ASK系统的误码率,就需要确定抽样判决器前传送“1”信号时信号加噪声合成包络的概率密度函数,以及传“0”信号时噪声包络的概率密度函数,然后再根据判决门限,确定非相干系统的误码率。 当接收“1”信号时,带通滤波器输出的信号与噪声的混合波形 |
| 即 |
| 若发送“1”码,在 |
| 若发送“0”码,则包络检波器的输出为 |
| 发“1”信号时,包络相当于余弦信号加窄带高斯噪声的包络,其一维概率密度函数服从莱斯分布。可表示为 |
| 发“0”信号时,包络相当于窄带高斯噪声的包络,其一维概率密度函数服从瑞利分布。可表示为 |
| 式中, |
![]() |
| 图6 包络检波时误码率的几何表示 |
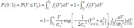
| (1)当发送的码元为“1”时,错误接收的概率即是包络值 |
![]() |
| 上式中的积分值引入Marcum Q函数计算,Marcum Q 函数的定义是 |
| 令式中 |
| 则 |
![]() |
| 式中: (2)当发送“0”时,错误接收概率为噪声电压的包络抽样值超过门限 |
![]() |
| 假设发送“1”码的概率为P(1),发送“0”码的概率为P(0),则系统的总误码率为 |
| 假如 |
| (3)最佳判决门限的确定 包络检波法的误码率取决于解调器的输入信噪比和判决门限值。可见,误码率 最佳门限值 |
| 显然,直接求解上式很困难,一个较好的近似解为 |
| 实际上,采用包络检波法的接收系统都应用在大信噪比的情况下,此时有 |
| 此时,系统的总误码率为 |
| 又因为当x → ∞时,erfc(x)→0,故当r → ∞时,上式的下界为 |
| 值得提醒的是,以上讨论结果是在 |
| 可得 |
| 从中可解出最佳判决门限 。 2相干接收时2ASK系统的误码率 相干解调的原理方框图如图6.1.5所示。相干解调时接收机要产生一个与发送载波同频同相的本地载波信号,称其为同步载波或相干载波。利用此载波与收到的已调信号相乘,乘法器的输出为 |
![]() |
| 式中,第一项是基带信号,第二项为高频成分,经低通滤波器后,可输出 |
![]() |
| 图5 2ASK信号的相干解调 |
| 误码率的求解过程如下,波形经过相干解调器(即乘法器和低通滤波器)后,抽样判决器输入的波形 |
| 由于 |
![]() |
| 当发送信号“0”时, |
| 曲线如图7所示。 |
![]() |
| 图7 相干解调时误码率的几何表示 |
| 若仍令判决门限为 |
![]() |
| 其中 |
| 假设发送“1”码的概率为P(1),发送“0”码的概率为P(0),则系统的总误码率为 |
![]() |
| 可知,当 最佳判决门限也可通过求误码率 |
| 可得 |
| 即 |
| 可求得 |
| 若 |
| 此时得到2ASK信号采用相干解调时系统的误码率为 |
![]() |
| 当 |
| 比较以上两式可以看出,在相同的高信噪比条件下,2ASK信号相干解调时的误码率总是低于包络检波时的误码率,但两者性能的差别并不大。然而,包络检波时不需要稳定的本地相干载波信号,故电路实现比相干解调简单。 一般而言,大信噪比条件下使用包络检波;而小信噪比条件下使用相干解调。 总的来说,2ASK是以控制载波幅度或是否发送载波来传输消息,对于较高速率的无线信道已不再使用,它的抗干扰能力远不如其他很多类型的调制方式,这里仅是作为一种类型进行介绍,但提供的性能分析方法却有理论意义。 例题1 设某2ASK信号的码元速率RB=4.8×106波特,采用包络检波法和相干解调法解调。已知接收端输入信号的幅度 (1)包络检波法解调时系统的误码率; (2)相干解调法解调时系统的误码率。 解:(1)因为2ASK信号的码元速率RB=4.8×106波特,所以接收端带通滤波器的带宽近似为 |
| 带通滤波器输出噪声的平均功率为 |
| 解调器输入信噪比为 |
| 此时,可得包络检波法解调时系统的误码率为 |
| (2)此时相干解调时系统的误码率为 |

电工电气学习网 ( )
GMT+8, 2026-3-12 12:51
Powered by © 2011-2026 www.dgdqw.com 版权所有 免责声明