| 1.数字基带信号波形(二进制) |
![]() |
| 图1 任意随机二进制脉冲序列示意波形 |
| 设随机二进制序列的一个样本函数如图1所示。 令 |
| 式中, |
![]() |
| 2.数字基带信号的功率谱密度 二进制随机脉冲序列 |
| 其中, |
![]() |
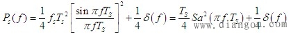
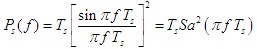
| 随机二进制序列的功率谱密度包括两部分:1)由交变波 (1)对于单极性波形 |
| 式中, (2)对于双极性波形 |
| 当 |
| 例1 试求单极性不归零码的功率谱密度,设“1”码概率 |
| 解: |
| 由此,得 |
![]() |
| 例2试求双极性不归零码的功率谱密度,设“1”码概率 解:由于双极性码中 则有 |
| 还可以求出单极性归零码和双极性归零码的功率谱密度。图2画出了各种不同二进制码的功率谱密度。 |
![]() |
| 图2 各种不同二进制码的功率谱密度 |
| 分析二进制的随机脉冲序列的功率谱密度由两个意义: (1)确定传输随机二进制脉冲序列所需要的带宽; (2)确定能否从序列中提取收端所需的码元定时信息。 |

电工电气学习网 ( )
GMT+8, 2026-3-12 12:02
Powered by © 2011-2026 www.dgdqw.com 版权所有 免责声明