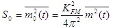
| 分析模型如图1所示: |
![]() |
| 图1 鉴频器解调抗噪声性能模型 |
| 一、输入信噪比 接收已调信号为 |
| 解调器输入端信号功率 |
| 解调器输入端噪声同线性调制系统解调相同,是窄带噪声,其功率为 |
| 其中 所以,调频系统的解调器输入端的信噪比为 |
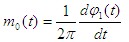
| 为了求出解调器输出端的信噪比,需要求出鉴频器输出端的有用信号和噪声。鉴频器的输出信号正比于输入信号的频偏,所以,为了求出鉴频器输出信号,我们有必要研究鉴频器输入端信号的相位。 鉴频器输入端信号为调频信号与窄带噪声的叠加,设调频信号为 |
| 窄带噪声为 |
| 则鉴频器输入信号为 |
![]() |
| 图2 矢量合成图 |
| 在三角形OBC中,有 |
| 故有 |
![]() |
| 二、大信噪比时的解调增益 大信噪比情况下,即 |
![]() |
| 其中 鉴频器的输出 |
| 于是鉴频器输出的有用信号为 |
| 考虑到 |
| 故有 |
| 于是在大信噪比情况下。鉴频器输出的信号功率为 |
| 而鉴频器的输出噪声为 |
| 输出噪声功率为 |
| 显然,为了求出噪声功率,需先求出窄带噪声正交分量微分的平均功率 |
| 窄带噪声正交分量的的功率谱密度为 |
![]() |
| 所以 |
| 则 |
| 鉴频器后低通滤波器的截止频率为 |
![]() |
| 得解调器输出信噪比为 |
| 当调制信号为单频信号即 |
| 并且 |
![]() |
| 整理,得 |
| 得到单音调制调频系统的调制制度增益 |
| 上式结果表明,在大信噪比的情况下,宽带调频解调器的调制制度增益是很高的,即抗噪声性能很好。例如, 三、小信噪比时的门限效应 在小信噪比的情况下 |
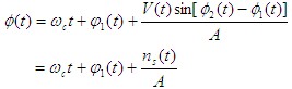
| 上式中没有单独存在的有用信号项,解调器输出几乎完全由噪声决定。同调幅波包络检波器非相干解调相同,调频波鉴频器这种非相干解调方法同样存在“门限效应”。 图4为调频解调器的输出与输入信噪比性能。图中横轴为解调器输入端的信噪比,纵轴为解调器输出端的信噪比。由图可见,当输入信噪比较大时,调频系统的解调性能随输入信噪比的增加而增加,当输入信噪比减小到某一值 |
![]() |
| 图4 FM解调时的门限效应 |
| 实践和理论计算表明,应用普通鉴频器解调调频信号时,其门限效应与调制指数 在实际中,改善门限效应有许多方法,目前用的较多的有锁相环路鉴频器法即调频负回授鉴频法。另外,也可以采用“预加重”和“去加重”技术来改善解调器输出信噪比。 |

电工电气学习网 ( )
GMT+8, 2026-3-12 11:59
Powered by © 2011-2026 www.dgdqw.com 版权所有 免责声明