一、单边带调幅 1.单边带调制的概念 定义:把只传输一个边带的调制方式称为单边带调制(SSB)。 单边带调制信号的频谱 |
 |
可见,单边带调制有两种方式:只传输上边带或只传输下边带。 由单边带调制信号的频谱可知,传输单边带信号所需的传输带宽为 |
 |
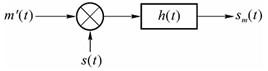
2.单边带信号的时域表示式 利用图1所示的幅度调制器的一般模型可以产生单边带信号。 |
 |
此时, , 为边带滤波器, 。 |
 |
| 图1 边带滤波器的传输特性 |
| 经推导可得单边带调制信号的时域表达式 |
 |
式中,取“-”号为上边带,取“+”号为下边带, 是 的希尔伯特变换。 下面分析单边带信号的频域特性。 3.单边带信号的产生 单边带信号的产生有两种方法:滤波法和相移法。 1)滤波法 思想方法:先产生一个双边带信号,然后滤去一个边带,而获得单边带信号。 如图1所示。 在实际中,还可以采用多级滤波法产生单边带调幅信号。 |
 |
| 图3 多级滤波法产生SSB信号 |
2)相移法 相移法产生SSB信号的一般模型,如图4所示。 |
 |
| 图4 相移法产生SSB信号 |
可见,该模型由两个乘法器和两个相移网络构成。 4.单边带信号的解调 单边带信号可以采用相干解调器进行解调。相干解调器框图如图5所示。 |
 |
| 图5 SSB信号相干解调 |
解调过程: 若接收的SSB信号为 |
 |
| 设收、发端载波同步,经乘法器后的信号为 |
 |
| 经低通滤波器后 |
 |
要求接收端的本地载波与发送端的载波完全同步。 综上所述,SSB信号可以节省载波发送功率;频带宽度只有双边带的一半,即频带利用率提高一倍;SSB信号的解调也不能采用简单的包络检波,而需采用相干解调。 二、残留边带调幅(VSB) 1.残留边带调制的一般概念 残留边带调幅(VSB)从频域上来看是介于SSB与DSB之间的一种调制方式。它保留一个边带的大部分,而将另一个边带保留一部分残余。这样,即克服了DSB占用频带宽的问题,又解决了单边带滤波器不易实现的问题。 残留边带调制信号的频谱 |
 |
| 图6 残留边带调幅的概念 |
| 残留边带信号的带宽 |
 |
可见,残留边带信号的带宽介于双边带和单边带调幅信号带宽之间,当 很小时更接近于单边带调幅。由于不发送载波,调制效率与双边带以及单边带相同。其主要优点是带宽接近单边带,并具有良好低频基带特性。因此,适于传输丰富低频分量丰富信号的通信系统都采用残留边带调制。 2.对残留边带滤波器的要求 如果使用滤波法产生残留边带调幅信号,仍采用幅度调制器的一般模型,但是 要使用残留边带滤波器。 经推导,得 |
 |
 |
| 图7 残留边带滤波器(低通)的特性 |
| 结论:为了保证相干解调时无失真恢复基带信号,要求残留边带滤波器的传输函数在载频处具有互补对称性。 |