|
1.输出信号的时域描述 |
![]() |
| 图1 信号经过线性系统 |
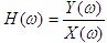
| 2.输出信号的频域描述 |
| 系统的传输函数 |
| 3.输出信号的能量谱密度或功率谱密度 若输入信号 |
| 若输入信号 |
![]() |
| 可以看出,能量谱密度或功率谱密度的输入、输出关系与系统的传输函数的幅度平方函数有关,因此,仅用输入输出的自能量谱密度或功率谱密度只能确定系统的幅-频特性,系统的相位特性无法确定,因此,能量谱密度或功率谱密度失掉了相位关系。 |

电工电气学习网 ( )
GMT+8, 2026-3-12 13:03
Powered by © 2011-2026 www.dgdqw.com 版权所有 免责声明