|
如图:一次外施三相对称电压,单相负载ZL接a相,为了简单起见,副边量已折算至原边,不加折算符号。
图1 Y,yn接线三相变压器带单相负载 分析:根据不对称条件,列端点方程:
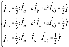
在忽略激磁电流的情况下,一次侧折算电流
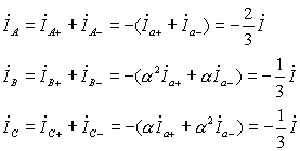
由于一次侧为Y接,相电流只有正序分量和负序分量:
图2 Y,yn接线三相变压器带单相负载的等效电路
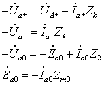
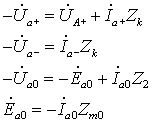
式中参数ZK,Z2和Zm0为已知,电源电压,负载阻抗也为已知,这样便可求出各相序的电流和负载电流:
忽略漏阻抗,得
可见,零序阻抗对单相负载电流影响甚大。 (1)三相心式变压器:由于零序磁通遇到的磁阻较大,Zm0较小,因此只要适当限制中线电流,这种结构的三相变压器可以带一相到中点的负载。 (2)三相变压器组:零序磁通所遇到的磁阻小,Zm0≈Zm+较大,负载电流的大小主要受Zm0的限制,即使负载阻抗ZL很小,负载电流也大不起来。在极端的情况下,如一相发生短路,ZL=0,则
即短路电流仅为正常激磁电流的3倍。 |

电工电气学习网 ( )
GMT+8, 2026-3-12 12:17
Powered by © 2011-2026 www.dgdqw.com 版权所有 免责声明