电工电气学习网

 找回密码
 立即注册

QQ登录

只需一步,快速开始

搜索

三角形连接负载的电路分析

2014-12-31 09:56| 编辑:电工电气学习网| 查看: 62355| 评论: 0

图1 负载的三角形连接

  负载的相电压=线电压,即

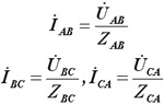
  各相电流为:


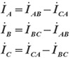
  各线电流为:

  1、负载对称

图2 三角形对称负载相量图

  三个相电流对称,三个线电流也对称,且滞后于相应相电流30°,即
  2、负载不对称
  不对称的三角形负载,各相电流将不再对称,各线电流也不再对称,其各相电流与各线电流的有效值不再是的有效值不再是的关系,必须根据下式先逐一计算出各相电流,然后再计算各线电流。

  3、拓展
  三相负载绕组采用何种联接形式,要根据电源电压和负载额定电压的情况而定,必须保证加在负载上的电源电压等于负载的额定电压。
  如某些三相电动机会有两种额定电压,如220/380V。它表示当电源线电压为220V时,就应该将电动机的三相绕组接成三角形;当电源线电压为380V时,就应该将电动机的三相绕组接成星形。

(a)               (b)

图3 三相对称负载连接

微信扫码并关注“电工电气学习”,免费领取100G电气资料!

看过《三角形连接负载的电路分析》的人还看了以下文章:

热点文章

电工电气学习网 ( )

GMT+8, 2026-1-14 17:58

Powered by © 2011-2025 www.dgdqw.com 版权所有 免责声明

技术驱动未来! 电工学习网—从零开始学电工基础知识电气自动化学习网站。

返回顶部