|
图1 三相四线制电路 相电流——Ip
图2 对称负载相量图
此时中线不起作用,可以去掉。
图3 三相三线制电路 对于三相对称电路,只要分析计算其中一相的电压、电流即可,其它两相的电压、电流根据其对称性直接写出。计算每相负载中电流的方法与单相电路一样。
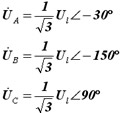
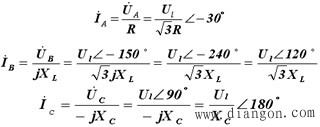
【例】有一三相电源,
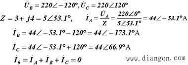
2、不对称三相电路
解:
此时,各相电流不再对称,故中线电流也不再为零,中线起了作用,既不能取消,也不能断开。正是因为有了中线,才使负载的相电压总能保持对称,各相负载能得以正常工作。 (2) 无中线的情况
(a) (b) 解:灯泡的内阻
代入R值得:
A相负载的电压: |

电工电气学习网 ( )
GMT+8, 2026-3-12 11:55
Powered by © 2011-2026 www.dgdqw.com 版权所有 免责声明