|
恒流源负载放大电路的分析过程如下:
(1)快速找出放大电路中的各种恒流源电路; (2)计算恒流源电路的恒流值及其内阻,得到等效恒流源,将恒流源负载放大电路转换成一般放大电路。 (3)采用一般多级或差分放大电路的分析方法计算放大电路的指标。 【解答过程】:非有源负载放大电路的放大倍数与动态范围是一对矛盾。图1是一般单管放大电路,静态工作点为:
图1 负载开路时 既要保证集电极的动态电阻足够大,又要保证静态工作点稳定的惟一方法是选择恒流源(有源)负载。 [例1]图2(a)是uA741运放电路中间级放大电路的简化电路图。设三极管的放大倍数
图2 1.静态偏置分析 图2(a)中, 2.动态(交流)分析 图2(b)的交流通路如图3(a),微变等效电路如图3(b),其中
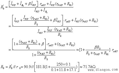
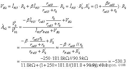
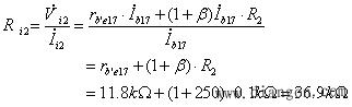
图3 (1)放大倍数计算 由图3(b)可得, (2)输入电阻计算 (3)输出电阻计算 第一级的输出电阻为: 输出电阻计算的的电路如图4所示。
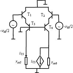
图4 [例2] 图5(a)是uA741运放电路输入差分级放大电路的简化电路图,试画出其电路模型。
图5 1.静态偏置分析 静态偏置用恒流源代替后的等效直流通路如图5(b)。 2.动态分析
图6
图7 |

电工电气学习网 ( )
GMT+8, 2026-3-12 13:17
Powered by © 2011-2026 www.dgdqw.com 版权所有 免责声明