电工电气学习网

 找回密码
 立即注册
搜索
订阅

三相交流电

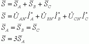
对称三相电路功率的计算
对称三相电路功率的计算
  (1)平均功率   设对称三相电路中一相负载吸收的功率等于 Pp=UpIpcosφ, 其中Up、Ip 为负载上的相电压和相电流。则 三相总功率为:   P =3Pp =3UpIpcosφ   注意:   1) 上式中的 φ 为相电压与相电流 ...
2015-3-2 07:56
不对称三相电路的概念
不对称三相电路的概念
  在三相电路中,只要有一部分不对称,如出现电源不对称,或电路参数(负载)不对称就称为不对称三相电路。不对称三相电路的分析不能引用上一节中对称三相电路的分析方法,只能用第九章介绍的正弦稳态电路的分析法。 ...
2015-3-2 07:55
三相电路中的术语
三相电路中的术语
   (1)端线 ( 火线 ) :始端 A, B, C 三端引出线。  (2)中性点: X, Y, Z 接在一起的点称为三相电源的中性点,用 N 表示,星形负载接在一起的点称为负载的中性点,用 N '表示。三角形电源和负载没有中性点。   ...
2015-3-2 07:53
什么是三相电路?什么是对称三相电路?
什么是三相电路?什么是对称三相电路?
  什么是三相电路? 三相电路是由三个频率相同、振幅相同、相位彼此相差120°的正弦电动势作为供电电源的电路。三相电力系统由三相电源、三相负载和三相输电线路三部分组成。三相电路具有如下优点:(1)发电方面: ...
2015-3-2 07:49
三相电路功率的测量(对称,不对称)
三相电路功率的测量(对称,不对称)
1.一表法(对称三相电路)   当三相电路对称(负载对称)时,只要用一个功率表测量其中一相的功率(如图a、b所示),然后将功率表读数乘以3便得到三相总功率。     若Y 接法负载的中性点在机壳内部无法接线,或 ...
2015-2-28 08:51
负载不对称Y-Y接三相电路
负载不对称Y-Y接三相电路
 1.无中线     设N为参考节点,用节点电压法可得中点N与n间的电压:    中点位移--n点和N点电位不同(在相量图中不重合)的现象。  在电源对称下,可由中点位移来判断负载端不对称的程度。  2.有中线  ...
2015-2-28 08:29
复杂的对称三相电路(多组对称三相电源或负载)
复杂的对称三相电路(多组对称三相电源或负载)
解题步骤:  1.将所有三相电源、负载都化为等效Y-Y接电路;   2.连接各负载和电源中点,中线上若有阻抗可不计;   3.画出单相计算电路,求出一相的电压、电流:   一相电路中的电压为Y接时的相电压;   一 ...
2015-2-25 08:22
电源为Δ接时对称三相电路的计算(Δ–Y,Δ–Δ)
电源为Δ接时对称三相电路的计算(Δ–Y,Δ–Δ)
1.Δ–Y接法(有无端线阻抗方法一样)的计算    再根据上述Δ–Δ接方法计算  2.不考虑端线阻抗时Δ–Δ接法计算    取A相求相电流        由对称性,得出其它两相的电压、电流。   3.考虑端线阻 ...
2015-2-25 08:22
Y–Δ接(三相三线制)对称三相电路的计算
Y–Δ接(三相三线制)对称三相电路的计算
1.不考虑端线阻抗的情况       负载上相电压与线电压相等:    相电流为:      讨论:  若不考虑端线阻抗,则:  (1)当负载额定电压等于电源线电压时,应如何连接?  答:应三角形连接。  ...
2015-2-25 08:21
Y–Y接(三相三线制),Y0–Y0(三相四线制)对称三相电路的计算
Y–Y接(三相三线制),Y0–Y0(三相四线制)对称三相电路的计算
  对称三相电路的计算方法可归结为一相正弦电路计算。     以N点为参考点,对N’点列写节点方程:         即:在对称Y-Y电路中,中线如同开路,可有可无。   各相电源和负载中的电流等于线电流。 ...
2015-2-25 08:20
什么是对称三相电路?
什么是对称三相电路?
1.对称三相电路:三相电源、三相负载都对称、且端线的阻抗相等的电路。   2.对称三相负载(均衡三相负载):三个相同负载(负载阻抗模相等,阻抗角相同)以一定方式连接起来。   3.对称三相负载的连接:两种基本连接 ...
2015-2-25 08:19
三相电路的基本概念
三相电路的基本概念
世界各国电力系统中电能的生产、传输和供电方式绝大多数都采用三相制。 三相电路是在结构和参数上具有特殊关系的正弦电流电路,这种关系决定了三相电路分析方法的特殊性,并具有许多重要优点。在同样的输电电压和线 ...
2015-2-24 08:34
有中线的不对称三相电路
有中线的不对称三相电路
定义:当三相电路的电源电压 、电源内阻抗不对称或负载阻抗以及线路阻抗不对称时,将引起三相电路中各相电压、电流的不对称,这种电路称为不对称电路。我们所讨论的范围中,一般均指电源对称而负载不对称的三相电路 ...
2015-2-11 14:05
三相电压和三相电路中负载的星三角形连接
三相电压和三相电路中负载的星三角形连接
1、三相电压 机床通常以交流电为电源,而交流电路的电源通常是三相交流发电机,由该设备发出的电压源为三相交流电。三相交流发电机内有三相电枢绕组,电枢固定,也称定子,每相电枢绕组的两个线端产生同频同幅的正弦 ...
2015-2-5 16:48
三相电路中负载的连接方法
三相电路中负载的连接方法
三相电路中负载的连接方法有两种。 1、星形联结 图1所示是三相四线制电路,设线电压为。电灯负载(,单相负载)比较均匀地分配在各相之中,接在相线与中性线之间;三相电动机接在三根相线上。 图1电灯与电动 ...
2015-2-5 09:15
三相电路的功率及测量方法
三相电路的功率及测量方法
三相负载所吸收的平均功率等于各相负载吸收的平均功率之和,即有: (1) 式中,、、分别为三相电压有效值;、、为各相电流有效值;、、表示各相电压电流之间的相位差。 在对称三相电路中,各相电压和各相电流有效 ...
2014-12-28 10:56
不对称三相电路概念
不对称三相电路概念
如果三相电路中有三相不对称电源或三相不对称负载,则成为不对称三相电路。不对称三相电路没有上节所述的特点,不能用单相图进行计算。一般情况下不对称三相电路可看成复杂交流电路,可用一般复杂交流电路方法分析计 ...
2014-12-28 10:55
不对称三相电路
不对称三相电路
当三相电路中的电源电压不对称或者电路的参数不对称时,电路中的电流一般也不会对称。这种电路称为不对称三相电路。三相电路中不对称问题是大量存在的。首先,三相电路中有许多小功率单相负载,很难把它们凑成完全对 ...
2014-12-21 09:42
三相电路的功率
三相电路的功率
1. 三相电路的功率 在Y 型三相电路中,三相负载吸收的复功率等于各相复功率之和。当三相对称时,三相复功率相等: 对称三相电路的瞬时功率等于各相负载瞬时功率之和: 可见,对称三相电路的瞬时功率是一常量, ...
2014-12-20 08:55
非对称三相电路的概念
非对称三相电路的概念
不对称三相电路,一般是电源对称,负载不对称: 当 S 打开,列结点方程: 因负载不对称,当开关 S 闭合后,有: A 相中的电流是否受其它两相负载的影响?
2014-12-20 08:54

电工电气学习网 ( )

GMT+8, 2026-2-9 22:55

Powered by © 2011-2025 www.dgdqw.com 版权所有 免责声明

技术驱动未来! 电工学习网—从零开始学电工基础知识电气自动化学习网站。

返回顶部